В каждой инвестиции рано или поздно наступает момент, когда из неё нужно выйти. Кто-то выходит в середине движения вверх. Счастливчики – на пике доходности. А есть те, кто не выдерживает и сбрасывает активы в самый неподходящий момент. Один из таких моментов был в марте этого года.

Скажете, что сейчас, оглядываясь в прошлое, легко давать советы. И будете правы, но отчасти. За то время, что существуют финансовые рынки, за падением практически всегда (за исключением единичных случаев) следует рост. Есть несколько моментов, о которых нужно помнить.
Один из них – а что, собственно, делать в период падения? Продавать по низкой цене? Или докупать, ведь активы подешевели? А может быть самым правильным решением будет ничего не делать и ждать?
Последнее, кстати говоря, именно тот принцип, которым я руководствовался при составлении портфелей. 6 месяцев назад я случайным образом составил четыре портфеля из акций российских компаний, «вложил» в них условные 100 000 рублей и просто стал ждать. Кстати, о портфелях:
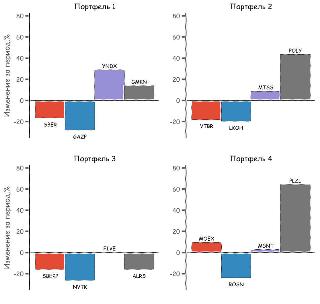
- Портфель 1: Сбербанк, Газпром, Яндекс, Норникель
- Портфель 2: ВТБ, Лукойл, МТС, Полиметалл
- Портфель 3: Сбербанк (префы), Новатэк, Х5 ритейл групп, Алроса
- Портфель 4: Московская Биржа, Роснефть, Магнит, Полюс золото
В каждый входят компании-лидеры российского рынка разных секторов экономики. Я бы хотел добавить компании малого бизнеса, но они (обычно) слабо представлены на финансовом рынке. Но даже по лидерам прошедшие полгода показались американскими горками.
Почему? С ноября по декабрь был плавный набор высоты – акции умеренно росли в стоимости, портфели показывали скромную динамику. Декабрь и январь – ускорение вверх, когда индекс Московской Биржи бил исторические рекорды. А период с февраля по март – первый вираж и падение практически всего и везде. Падение глубокое.
Я не думал, что составленные мной портфели покажут какой-то рост. Максимум того, на что я рассчитывал – слабо отрицательная динамика. Но портфели превзошли мои ожидания!

Удивительно, но два портфеля из четырех показали положительную динамику: второй вырос на 3.5%, а портфель 4 – аж на целых 13%! Хуже всего проявил себя портфель 3 – падение почти на 15%.
До февраля в плюсе были все. А после начало падать всё, в том числе и акции, входящие в портфели. К середине марта каждый из них показывал значительную отрицательную доходность, доходящую до -30%! А что бы вы сделали в тот момент?

Те, кто удержался и не продавал, оказались в выигрыше. К середине апреля каждый из портфелей отыграл если не все падение, то большую его часть.
Если посмотреть поближе, то всё еще интереснее: кто-то рос, кто-то падал. Падали, прежде всего, нефтегазовые компании: Газпром (GAZP), Новатэк (NVTK), Лукойл (LKOH) и Роснефть (ROSN) – все -20% и более. Банки в стороне не остались, там падение в среднем на 17%.

А в лидерах – производители благородного металла. Полиметалл (POLY) и Полюс золото (PLZL) показали рост в 43% и 64% соответственно, вытянув свои портфели в плюс. На фоне кризиса инвесторы традиционно начали перекладывать свои средства в более классические инструменты – например, золото. Как следствие, 14 апреля 2020 был взят рекорд: цена июньского фьючерса на золото на бирже NY достигла $1785 за тройскую унцию, что является максимумом с 2012 года.
«Продавать? Докупать? Ничего не делать?» – вечные для финансовых рынков вопросы. Что будет дальше и куда приведут текущие события – непонятно. Но я, как и 6 месяцев назад, буду придерживаться «ленивого» подхода.
Мои посты по схожей тематике:
