Остался 1 месяц до подведения итогов по эксперименту, за которым я следил на протяжении почти целого года. Речь идет о портфелях акций, которые я составил случайным образом. За 1 месяц до конца каждый из портфелей оказался в плюсе. Удержатся ли они в положительной зоне?
Я составил 4 портфеля из самых надежных акций российского рынка:
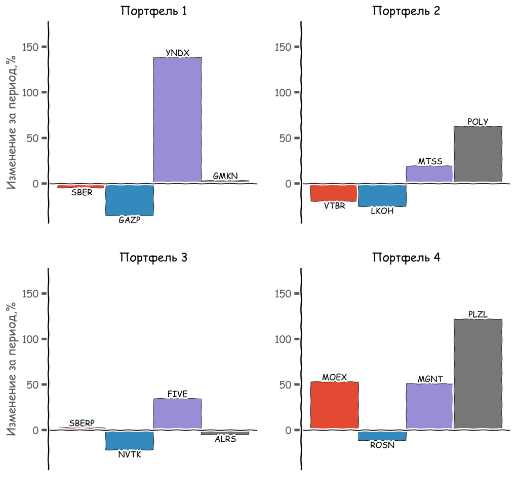
- Портфель 1: Сбербанк, Газпром, Яндекс, Норникель
- Портфель 2: ВТБ, Лукойл, МТС, Полиметал
- Портфель 3: Сбербанк (префы), Новатэк, Х5 ритейл групп, Алроса
- Портфель 4: Московская Биржа, Роснефть, Магнит, Полюс золото
В каждый я «инвестировал» 100 000 рублей и следил за динамикой доходности. Я говорил о том, что портфели составлены случайным образом. Но на самом деле в них был заложен немного более «сложный» подход.
Каждый портфель состоял из акции четырех компаний. Каждая компания – представитель одного из основных секторов экономики России: финансового, нефтегазового, потребительского и производственного (добывающего). Риск по портфелям тоже неодинаковый: первый самый надежный, потому что в нем акции с самым большим весом в индексе Московской Биржи. Дальше риска больше (а значит и больше вероятность заработать), но это всё равно акции ведущих российских компаний.
За 1 месяц до конца эксперимента в зеленую зону вышли все портфели. На первом месте по доходности — портфель №4, далее идет портфель №1, замыкает тройку портфель №2. Последнее место у портфеля №3 с доходностью +2.52%, а если вычесть комиссию брокера, будет и того меньше.
Неопределенность на финансовых рынках, особенно весной этого года, не могла не отразиться на динамики портфелей. Но за каждым падением следовал еще больший рост, что вывело все портфели в плюс.

Я не просто так формировал портфель из акций различных компаний. Если бы этого не было сделано, доходность оказалась бы совершенно другой. Благодаря тому, что в каждом из портфелей были компании из разных секторов, что позволило показать положительную доходность.

Посмотрите на динамику — все портфели отличаются! Безусловно, доходности по каждой бумаге очень интересные: Яндекс +138%, Полюс Золото +121%, Московская Биржа +52%!
Но еще интереснее посмотреть, как российская экономика справляется с вызовами 2020 года. По каждому портфелю нужно выбрать столбцы одного цвета: красный — финансовый сектор, синий — нефтегаз, фиолетовый — потребительский, а серый — производственный.
И об этом мы поговорим уже в финальном посте на данную тему, не пропустите!


