Вы мало что знаете про финансовый рынок? Но очень хотите вложить часть своих сбережений во что-то доходнее, чем банковский депозит? И перед вами проблема – как выбрать акции для покупки? Предлагаю один из выходов.

На самом деле выбрать акции для инвестиций очень непросто. И чем большим объемом знаний вы обладаете, тем сложнее выбор. Поэтому я решил подойти к вопросу с другой стороны, а именно максимально упростить и «случайным образом» составить портфели из акций ведущих российских компаний.
Представьте, что у вас есть 100 000 рублей. Что выбрать из более, чем 300 акций на Московской Бирже? Какие могут выстрелить в течение недели/месяца/года? Какую потенциальную доходность покажут ваши инвестиции?
Напомню про акции, из которых я составил простейшие портфели:
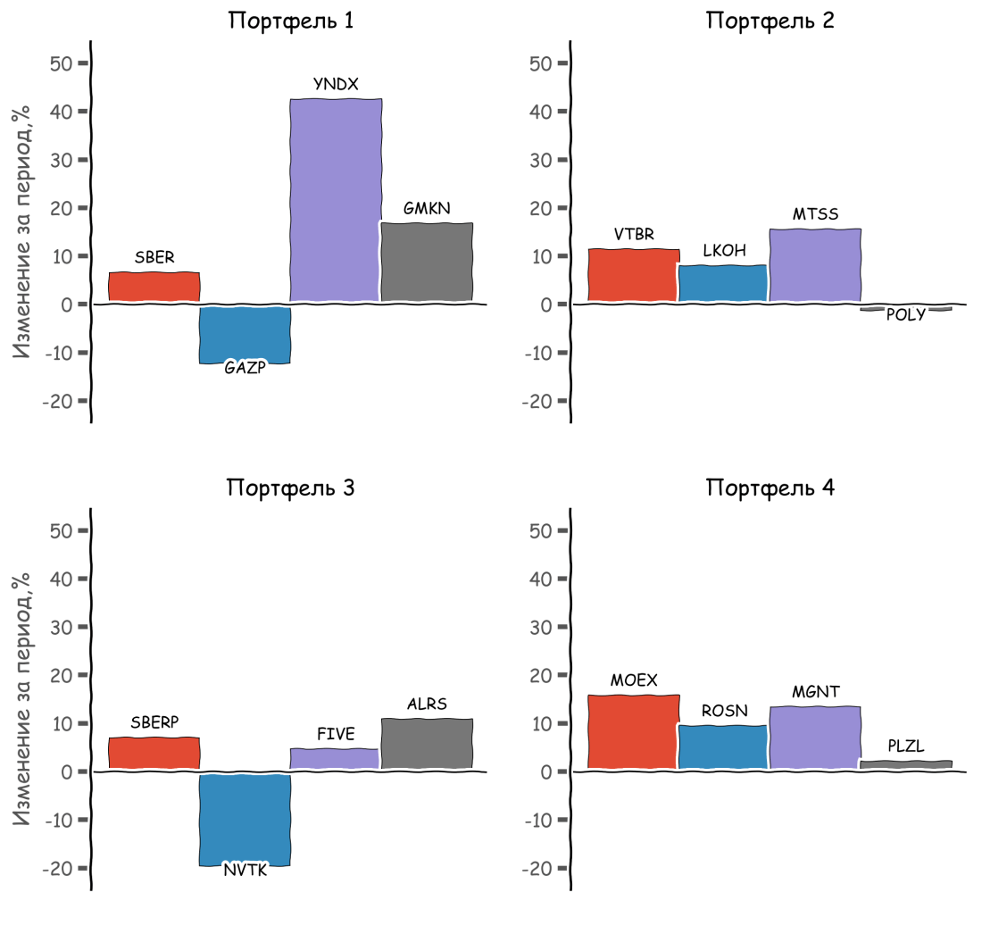
- Портфель 1: Сбербанк, Газпром, Яндекс, Норникель
- Портфель 2: ВТБ, Лукойл, МТС, Полиметалл
- Портфель 3: Сбербанк (префы), Новатэк, Х5 ритейл групп, Алроса
- Портфель 4: Московская Биржа, Роснефть, Магнит, Полюс золото
Каждый портфель состоит из 4 акций. Каждая акция – представитель одного из основных секторов экономики России: финансового, нефтегазового, потребительского и производственного (добывающего). Эти «сложности» для того, чтобы диверсифицировать портфели и сгладить ценовые движения. Риск по портфелям тоже неодинаковый: первый самый надежный, потому что в нем акции с самым большим весом в индексе Московской Биржи. Дальше риска больше (а, значит, и больше вероятность заработать), но это всё равно акции ведущих российских компаний.
Я начал инвестировать в портфели 1 ноября 2019 года. Прошло 3 месяца, и каждый из составленных портфелей показал положительную динамику!

Лучше всех выглядит Портфель №1. Его стоимость с момента инвестирования увеличилась почти на 13%! Немного хуже показал себя Портфель №4, а замыкает тройку лидеров Портфель №2 с показателем в 8.5%. Аутсайдером стал третий портфель: за 3 месяца он вырос лишь на 1%.

Несмотря на рост всех портфелей, каждый из них в определенный момент времени показывал отрицательную доходность. У Портфеля №2 этот период составил пару дней, а у Портфеля № 3 – пару месяцев.

Из 16 акции, составляющих 4 портфеля, только 3 показали отрицательный прирост стоимости с ноября 2019 года. Причем существенное падение показали компании газового сектора: обыкновенные акции Газпрома (GAZP) и обыкновенные акции Новатэка (NVTK). Первые просели на 12%, вторые – на 20%.
Но даже такое падение бумаг не привело к отрицательной динамике всего портфеля в целом. Яркое проявление принципа диверсификации – прирост стоимости по другим бумагам позволил вытянуть общую доходность портфеля в положительную зону.
Конечно, прирост стоимости можно объяснить тем, что рос весь рынок. Рос так, как давно не рос. Например, в января оборот составил почти 1.5 трлн. рублей, а число активных клиентов превысило 425 000! Как долго продолжится такой праздник – большой вопрос. Но я продолжу «держать» портфели и отслеживать их динамику.
Историю изменения портфелей можете посмотреть в моих предыдущих постах:
